Es metodo de ortogonalizacion se conoce como el metodo de
Gram-Schmidt, en honor de estos dos matematicos alemanes que NO inventaron el metodo,
el cual al parecer se le debe al matematico frances P.S. Laplace.

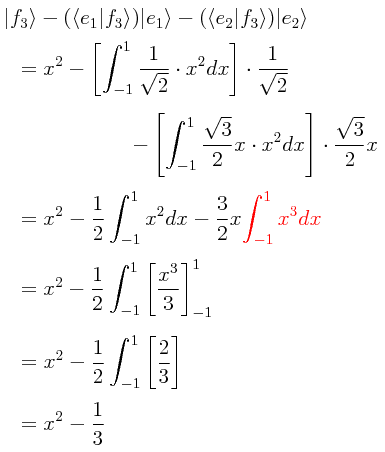
En este además se nos dice que al poder un conjunto de
vectores ortogonales formar una base para un espacio vectorial, es posible
construir un conjunto de vectores ortogonales a partir de un conjunto de
vectores linealmente independientes.
No hay comentarios:
Publicar un comentario